Decimals

Student: What if I am solving a problem where some of the numbers are decimals instead of fractions?

Mentor: You will need to know how to change a fraction into a decimal. That is a very useful thing to know.

Student: What about this problem, where one candidate receives one-fourth of the votes in an election, and I need to know which of the amounts below equals one-fourth?

  1. 1/4
  2. 0.30
  3. 2/5
  4. 0.25
  5. a and b
  6. a and d
  7. c and d
  8. a and c

Mentor: Well, you already know that one-fourth is the same a 1/4, so the remaining problem is to find out how to change the fraction 1/4 into a decimal, such as answers b) and d) in your problem above.

Student: How are fractions changed into decimals?

Mentor: Remember from the Comparing Fractions Discussion that fractions are really division. How would you turn 1/4 into a division problem?

Student: So 1/4 is the same as 1 divided by 4. But the thing that confuses me is do I write

or ?

Mentor: Let's review what the numbers mean. In a fraction, the denominator represents how many equal sized pieces a group or a whole is broken into; which in this problem is 4. The numerator then represents how many of those equal sized pieces there are, in this case 1. If you think about it this way, you can see the similarity between the idea of a fraction and concept of division.

Now let's see how the fraction notation can be represented as division. The number on the outside of the division symbol represents how many equal sized pieces we are trying to divide the whole into, i.e the denominator. The number on the inside of the division symbol represents how many of these equal sized pieces there are, so that is the numerator.

Student: So that means that

is correct.

Mentor: Very Good! What next?

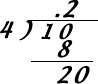
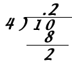
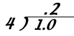
Student: Well since one is smaller than 4, I need to place a decimal after the 1 and add a zero and bring the decimal straight above the division symbol, like so:

but then I forget what to do next.

Mentor: Well now it is just a matter of treating it like a long division problem and ignore the decimal. You can continue to add zeros after to the right of the decimal because 1 has the same value as 1.0 which has the same value as 1.00. Try it.

Student: You mean like this?

step1:
step2:
step3:
step4:

Mentor: You've got it. So now that you know how to convert a fraction to a decimal, can you figure out the answer to our original question?

Student: Sure. Now that I know 1/4 = 0.25, if I do the same process to 2/5 I get 2/5 = 0.4 Since the decimal values are different, the fractions are different too!