Conic Derivation

Student: I understand the concepts behind Conic Sections, but how can I graph them algebraically? Are there equations to memorize?

Mentor: You certainly can just memorize the equations, but they're pretty complicated and all four look just similar enough to be confusing. I bet you will have an easier time of it if you derive the equations yourself.

Student: It would be nice to understand the meanings behind these equations. That way, if I forget the equations on a test, I can derive them again without any trouble.

Mentor: Exactly! Let's start with the simplest equation, the circle. What is the geometric definition of a circle (not the definition involving conic sections)?

Student: A circle is all points that are a certain distance, r, from a single point.

Mentor: Right, so you could say that the distance from any point to the center is always the same. Could you use the Pythagorean Theorem to calculate that distance?

Student: Well, we could draw lines from the center of the circle to the edges, and then turn them into right triangles to calculate their length, like this:

Mentor: Very good! Now, if we say that the center of the circle is at some point (h, k), could you come up with an equation for the radius, r ?

Student: Well, we would first have to find the length of each of the sides. The length of the horizontal side would be the difference in x-values between the center and the point on the circle, so it would be x - h. In the same way, the length of the vertical side would be the difference in y-values, or y - k.

Mentor: Good! So what, then, is the length of the radius?

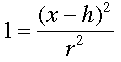
Student: The length of the radius is = + , so it would be:

Mentor: Precisely! Now what happens if we use a different point on the circle?

Student: Obviously, x and y are different, but the center of the circle (h, k) remains the same, as does the radius r, so wouldn't it just have the same equation as the first point?

Mentor: Absolutely! Your equation is actually the general equation for a circle with radius r and center (h, k).

Student: Wow! Are the equations of the other three conic sections also defined from their geometric definitions?

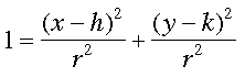
Mentor: Yes; in fact, this is how the equations originally came about. Let's try the equation of an ellipse next. But before we do so, let's rearrange the equation of the circle a little, dividing both sides by :

Mentor: Now if we look at this graph of a circle, can you tell me the length of the horizontal axis, in terms of r?

Student: Of course, it's just the diameter, which is 2 r.

Mentor: Good, but now can you check your work algebraically?

Student: Well, if y = k, then the equation simplifies to:

Mentor: Uh-oh, I think your forgetting something about taking the square root...

Student: Oh yeah, I need to include:

Mentor: Yes, in this case the plus or minus sign is particularly important, because both points are on the circle.

Student: Right, because then the distance between the two points is r - (- r) = 2 r, which is the length of the horizontal axis.

Mentor: Good! Now, can you find the length of the vertical axis algebraically?

Student: Sure, where x = h, the equation would just simplify to:

Student: Which gives a length of 2 r, just like the horizontal axis.

Mentor: You're absolutely right. For a circle, all diameters are equal, so both the x - h and y - k terms are divided by , where 2 r is the length of any axis. But what if we are dealing with an ellipse?

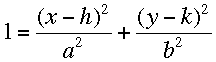
Student: Hmm, an ellipse is basically a circle where one axis is longer than the other, so instead of dividing both the x and y terms by , perhaps we could divide them by and , so that we have 2 a for a horizontal axis and 2 b for a vertical axis:

Mentor: Exactly! Then if y = k, we would have x - h = ±a, and if x = h, we would have y - k = ±b.

Mentor: Now, let's look at a hyperbola. Even though its graph looks very different from that of a circle or ellipse, I bet you can figure out what the equation is just from the geometric definition.

Student: Well, since a hyperbola is defined as all points such that the difference between their distances to two foci is the same, it's basically an ellipse that is turned inside out.

Mentor: Correct. In fact, if you graph an ellipse and a hyperbola on the same graph (with the same constants) you get something like this:

Student: In that case, I guess the equation would just be:

or

Mentor: Precisely! I'm glad you remembered that the subtraction could go both ways. In fact, those equations define a horizontally-opening hyperbola and a vertically-opening hyperbola, respectively.

Student: Oh, that makes sense. Now what about a parabola? Is it related to the others?

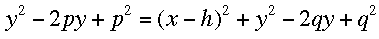
Mentor: Geometrically, of course, a parabola is defined as a set of points equidistant from a focus and a directrix. So, using the Pythagorean Theorem again, if the vertex of the parabola is at (h, k) then this equation seems to make sense...

Mentor: Can you check and see if this works?

Student: Well, the equation can be simplified:

Student: Wait a minute! That can't be right - that is the equation of a vertical line.

Mentor: Indeed, that isn't right. What could be wrong with my original equation?

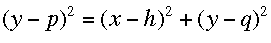
Student: I think that the (y - k)² on the left can't be the same as the (y - k)² on the right:

Mentor: Good thinking! The directrix and the focus are not the same vertical distance from each point, so they shouldn't have the same term in the equation. Now that we have the correct equation, what can we do to solve this equation for y?

Student: It looks like we'll have to F.O.I.L. the two y-terms...

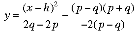
Mentor: Great! Now it looks like we can solve for the y-term to get the following equation:

But this equation is way too complicated! How can this equation be simplified a bit?

Student: Hmm...I don't see any way to simplify the term with x since we have four different variables, but the other term can be factored to get:

Mentor: Precisely! Now if we let x = h, then what do we get? Remember that the distance from any point on the parabola to the focus and directrix must be the same.

Student: Since the x-distance is zero, the y-distance to the focus and directrix must be equal. We get that y is the average of p and q, so y is halfway in between the focus and the directrix. Therefore, y must be the vertex of the parabola!

Mentor: Yes indeed! The y-coordinate of the vertex is just the average of the y-values of the focus and directrix:

Student: Cool, so what can we do with the other part of the equation?

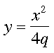
Mentor: If we assume that the vertex of the parabola is at (0, 0), can you simplify the equation?

Student: Well, for the vertex to be halfway in between the focus and the directrix we must have p = - q. Therefore, the equation is:

Mentor: Precisely! For any parabola, q is the distance from the focus or the directrix to the vertex. What would happen if the center was at (h, k) instead of (0, 0)?

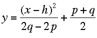
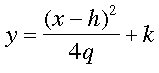
Student: Hmm, since we're just moving the graph around, the distance between the focus/directrix and the vertex, q, should stay the same. Therefore, would the equation just be:

Mentor: Exactly, you now have the general equation for a parabola!